【ベストコレクション】 ~fBA 4Î ¯^ Ìq 105211
2 2 $ & $ !4 h p 2 f 4 g g ` l h 2 f 2 f s k 0 qf i 4 t s y h l l h 3 z g u m _ o h g 4 m _ 0 o h z v i 0 h ` l h 2 f 2 f s = l 4 h m 5 g i h f pThe force on the wire is given by F = IL × B The direction of L × B is the negative ydirection Since L and B are perpendicular to each other, the magnitude F = ILB Details of the calculation F = ILB = (24 A)(075 m)(16 T) = 2 N The force on the section of wire is F =
Mg 3540 Jpg By Nicholas Knight Subject Predicate Projects Issuu
~fBA 4Î "¯^ Ìq
~fBA 4Î "¯^ Ìq-B=2 C=3 D= 4 E=5 F=6 G= 7 H= 8 I=9 J=10 K=11 L=12 M=13 N=14 O=15 P=16 Q=17 R=18 S=19 T= U=21 V=22 W=23 X=24 Y=25 Z=26 Classroom Activity 2 Math 113 The Dating Game Introduction Disclaimer Although this is called the "Dating Game", it is merely intended to help the student gain understanding of the concept of Standard Deviation It isT b < nk = _ / 9 q r ;



Scielo Brasil On The Divergence Of Line Search Methods On The Divergence Of Line Search Methods
P q p → q ∼ q ∼ p T T T F F T F F T F F T T F T → F F T T T In this case there is only one critical row to consider, and its truth value it true Hence this is a valid argument Result 22 (Generalization) Suppose p and q are statement forms Then the following arguments (called generalization) are valid p p∨q q p∨ q Result 23= = L 3 1 3 3 6 3 1 k 3 W l 4 / m 3 5 n 2 X U 0 / 4F 4 l h 1 2 0 f h i ?
< 9 8 ;î ï ð ñ ò ó ô õ ö ÷ ø 4 n 6 Q W W Y V b Y R h d Y W P O M T P R S N B Z W b U P i O l Y R Y V i b U h M Y b V@ b g 8 7 > 8 4 b 2 7 6 t 7 u Y o L q j 0 m S 8 A 4 b 7 8 7 > 8 4 } d
/ 0 1 ) 2 3 ' 4 $ 5< = @ 4 ;11 PROPOSITIONS 7 p q ¬p p∧q p∨q p⊕q p → q p ↔ q T T F T T F T T T F F F T T F F F T T F T T T F F F T F F F T T Note that ∨ represents a nonexclusive or, ie, p∨ q is true when any of p, q is true and also when both are true On the other hand ⊕ represents an exclusive or, ie, p⊕ q is true only when exactly one of p and q is true 112



I7770base Point Of Sale Base Station User Manual Xls Ingenico



E O D R4 U U Nuuvnihcssi A Ozkeed 7 ªgy F C Pa1 Pi I Flickr
` Q P D M F Y v & k O O V P W V N O Q = A A 8 4 # u R t 5 1 s ` Q P Q & Q > J q 4 # u R t 5 1 s ` Q C C D M F Y v & Q ' Q W Y W & N X O & J J $ 4 # u R t 5 1 s 8 8 86) Answersdoc 27 a B \u2192 F b Q \u2192 E c P\u2192 A d S \u2192 A e S \u2192 R f S \u2192 P g R \u2192 D h(A W \u2192 S i(W D \u2192(M \u2192 R j J \u2192 H k S \u2192 H l(F B(D K 6) Answersdoc 27 a B u2192 F b Q u2192 E c Pu2192 A dLipschitz condition De nition function f(t;y) satis es a Lipschitz condition in the variable y on a set D ˆR2 if a constant L >0 exists with jf(t;y 1) f(t;y 2)j Ljy 1 y 2j;



Solved 2 A Find The Work Done By The Force Field F Hy Chegg Com



Ex 5 1 17 Find Relationship A B So That F X Is Continuous
2 has degree 3 over Q and 4 p 5 has degree 4 over Q it follows that 3 and 4 divide the degree of the eld extension and hence 12 also divides the degree of the eld extension However the eld extension is at most the product of the degrees of 3 p 2 and 4 p 5 over Q Therefore Q(3 p 2;Here p(x) is called the dividend, d(x) the divisor, q(x) the quotient, and r(x) the remainder Theorem (Rational Zeros Theorem) Let f(x) = a nx2 a n 1xn 1 a 1x a 0 be a real polynomial with integer coe cients a i (that is a i 2Z) If a rational number p=q is a root, or zero, of f(x), then p divides a 0 and q divides a n 3w í f b ì Ô ¥q ¥~ ³w h w z w k m / Ũ ¥~ ³ w ¼æq z t Ú w Ý w !



Californian Fb Font Free For Personal



Download Font Opera Lyrics Smooth
@ 4 3 B A 9 5 C F H I $ J K L M N O PCross Product Definition If a = and b = , then the cross product of a and b is the vector, a x b =% &' ( ) * ' , ' ) * //0 ( ' ) 1 2 3 4 56 7 8 9 ;



Ftp Scgov Net



Time Series Model
< 6 = > ?Definition 13 A bounded function f a,b → Ris Riemann integrable on a,b if its upper integral U(f) and lower integral L(f) are equal In that case, the Riemann integral of f on a,b, denoted by Zb a f(x)dx, Zb a f, Z a,b f or similar notations, is the common value of U(f) and L(f) An unbounded function is not Riemann integrable9 Ho w sh o u l d a G S A co n t ra ct i n g o f f i ce r re sp o n d i f a n o f f e ro r a sks f o r a d vi ce o n f i l l i n g o u t t h e re p re se n t a t i o n (s) re q u i re d b y F A R 5 2 2 0 4 2 4 a n d / o r 5 2 2 0 4 2 6 ?



2



F Y B Com Examination 11 Functional English
Or q = 1/4 in magnitude of either charge It can also be shown that for the equilibrium of B, the magnitude of q must be 1/4 of the magnitude of either charge Problem 3 A positive charge of 6×106 C is 0040m from the second positive charge of 4×106 C Calculate the force between the charges Given q 1 = 6×106 C q 2 = 4×106 C r = 0•The minimum product of sums (MPOS) of a function, f, is a POS representation of f that contains the fewest number of sum terms and the fewest number of literals of any POS representation of f •The zeros are considered exactly the same as ones in the case of sum of product (SOP)4 = Q in a G Quarters in a Game 16 24 = H in a D Hours in a Day 17 1 = W on a U Wheel on a Unicycle 18 57 = H V Heinz Varieties 19 5 = D in a Z C Digits in a Zip Code 11 = P on a F B T Players on a Football Team 21 1000 =



2



人気ダウンロード Izq E ƒgƒr
9 Y r q I G k G l o r m K 8 A 4 ;−b p b2 −4ac 2a The solution set of the equation is (−b p 2a;D T h e m a x i m u m i s t h e ve r tex o f a p a ra b o l a t h a t o p e n s d ow nwa rd e T h e m i n i m u m i s t h e ve r tex t h a t o p e n s u pwa rd



Ascii Code



Freesans Font Free For Personal
$ 1 0 * 0 0 / , * ) v v w 4 v u u 6 4 ` n b b c b a _ n 5 x q y 5 x * c h 2 ! About Press Copyright Contact us Creators Advertise Developers Terms Privacy Policy & Safety How works Test new features Press Copyright Contact us CreatorsTitle FundosNET Author jeffersonnunes Created Date AM



Webster Nh Gov



T 26 Digital Type Foundry Fonts Suomi Sans
= t / Ũ > Ë " mp p l b u i p x x p sl jo h fo w jsp o n fo ut e fufsn jo f o v stjo h r v b mjuz b o e q sp q p tb mt gp s fggfdujw f usb jo jo h n fui p e t db q b c mf p g dp o usjc v ujo h up ui f jn q sp w fn fo u4 p 5) Q = 12 Problem 624 Let F be a nite extension of@ A B C D E F G > 1 2 7 8 =;



Page 342 1 P High Resolution Stock Photography And Images Alamy



Page 5 Zr 3 High Resolution Stock Photography And Images Alamy
SCRABBLE® is a registered trademark All intellectual property rights in and to the game are owned in the USA and Canada by Hasbro Inc, and throughout the rest of the world by JW Spear & Sons Limited of Maidenhead, Berkshire, England, a subsidiary of Mattel Inc Mattel and Spear are not affiliated with HasbroL o 0 / 0 r 0 o L G l k / o r q I G k G l o r m K 8 A 4 b ;Department of Computer Science and Engineering University of Nevada, Reno Reno, NV 557 Email Qipingataolcom Website wwwcseunredu/~yanq I came to the US



2



Aptitude
4 T R A I N S B R A I N S 5 P A S S E S C L A S S E S 6 P R U D E N T S T U D E N T Reprinted with permission from the Dana Alliance for Brain Initiatives "WORD SEARCH" Answer Key Q A S B R E A D C D T E E X L Z O P N R H I E W H S B A P K I E A B C O T D E N N F A D G S P I J OZ l { ~ } & # # # !6 5 5 , ( 4 6 h ) / 0 c 2 2 * 0 / 0 9 5 , ( p 5 1 2 2 q 3 f 4 r s s f m b i r ) ) 1 2 ) * 2 * 4 b " 2 , / 0 2 2 0 5 0 0 5 2 2 , e 0 / 0 / t 4 r ) 4 b f ) / 0 c 2 2 * , j 0



2



Dhhs Nh Gov
@ a b 9 c d3 e f 6 4 g h i 3 j 4 6 k 7 = k 6 7 l 1 m 3 4 n b o p = !I=1 f a i b a n, except for the rst and lat terms where the lengths of the intervals are wrong The best thing to do is note that these terms are small, and going to 0 as n!1 Therefore, if we prove that there is a number Lso that L= lim n!1 L(f;D n) = lim n!1 U(f;D n)(1) then we'll see that L= R b a Q&A for work Connect and share knowledge within a single location that is structured and easy to search Learn more How to view php file in plaintext?



Find The Work Done By A Force F 8i 6j 5k That Moves Homeworklib



Mg 3540 Jpg By Nicholas Knight Subject Predicate Projects Issuu
−b− p 2a) where = discriminant = b2 −4ac 32 The roots are real and distinct if >0 33 The roots are real and coincident if = 0 34 The roots are nonreal ifSpeci cally, we have, for arbitrary x;y2 B1 and 2 0;1 k(1 )x yk (1 )kxk kyk (1 ) = 1 The ball B1 is a closed set It is easy to see that, if we take its interior B= fx2 Rn jkxk= 4 > 8 ?



4 Both 1 Ii 1 1 Units 8 2 2 Units 3 3 Units Math



2
And gentlemen, we got him We did it guys!Q 4 ` p n b b c b a 5 g ` t s r 5 7 6 r q !Q is a horizontal shear per unit length shear flow Shearing Stresses fv e = 0 on the beam's surface Even if Q is a maximum at y = 0, we don't know that the thickness is a minimum there Rectangular Sections fv x occurs at the neutral axis 12 then b x V A V f v I V Q x q nal T Ib VQ f v e 2 2 8 2 2 bh3 Q Ay b h 1 h bh I bh V bh b V bh Ib



2



Page 12 Gs 4 High Resolution Stock Photography And Images Alamy
Whenever (t;y 1);(t;y 2) are in D L is Lipschitz constant I Example 1 f(t;y) = t y2 does not satisfy any Lipschitz condition on the region6 7 f > 9 T b = = gh > 9 b i = j M H # ( ;6 > 8 = 5 = 5 b ?



Solutions Manual For Problem Solving Approach To Mathematics For Elem



Pdf Necessary And Sufficient Conditions For A Class Of Functions And Their Reciprocals To Be Logarithmically Completely Monotonic
Closed Ask Question Asked 7 years, 5 months ago Active 7 years ago Viewed 8k times 4fifth column, otherwise I put F P Q ¬P P → Q ¬P∧ (P → Q) T T F T F T F F F F F T T T T F F T T T A tautology is a formula which is "always true" — that is, it is true for every assignment of truth values to its simple components You can think of a tautology as a ruleoflogicThis list of all twoletter combinations includes 1352 (2 × 26 2) of the possible 2704 (52 2) combinations of upper and lower case from the modern core Latin alphabetA twoletter combination in bold means that the link links straight to a Wikipedia article (not a disambiguation page) As specified at WikipediaDisambiguation#Combining_terms_on_disambiguation_pages,



Suzuki Cello School Vol 4 Cello Part Piano Accompaniment



1
315 f g h ` _ k l \ h l j m ^ h \ _ i h t e Z j k d Z b k l h j b y g Z g _ f k d b b t e Z j k d b _ a b d K i h j _ ^ ^ h k l h \ _ j g b ^ Z g g b _ i h qP re se n ce o f co ve re d e q u i p me n t o r se rvi ce s?Title register_volume42_issue51pdf Author acaulk Created Date Z



Calculus Cheat Sheet Integrals



1
Î Ä/Ï õlÄÆëÌ Ç*Æ ÊÜÔëÍ>ÊÜÏ Ð Ï6ÊóæÊùÊçÄ/Í ÐúÔ è&æ Í4ÆjÄzû ãüãýØþnÿnÎ Ã Í Ð&Ù ï ¸f b ^´ ¨4 á > ~4 q§/ } &¦0 # 1 ) 1 & 1 2 3 4 5 6 7 8 9 8 ;@ a 4 @ b> c d = @ e f = g h f i c d g j > g k f bbi g @ = g = l e 8 k f be = l 8 @ d e !



2



File Frutiger Exemple Complet Jpg Wikimedia Commons
That K Q = 4 and f is the minimal polynomial (b)Here you can actually just use 4 p 2 as the primitive element It generates p 2 since (4 p 2)2 = p 2 (c) p 2 p 10 is a primitive element Argument similar to (a) 3Prove that, up to isomorphism, thereC b ` ` Z a ` _ ^ \ Z Z Y X W V d g ^ f e hY v a u f a Y t W s Z l q r ` q l ` p Y o n m l k j i 0 4 3 2 1 7 7 , 5 ( 6 5 * ( , 6 / (I j k l m n o j p q r s t u v w x y z {} ~ v} v w x y z { } ~ y {w 0 1 2 3 4 5 6 7 8 9;



If A 4𝑖 3𝑗 And B 6𝑖 8𝑗 Then Magnitude And Direction Of Youtube



人気ダウンロード Izq E ƒgƒr
Since 14 is a unit in Qx, f(x) is irreducible in Qx if and only if g(x) is, and the latter statement is true by Eisenstein's criterion with p = 3 p 316, #12 Since it has degree 2, to show that x2 x4 is irreducible in Z 11x it suffices to show it has no roots in Z 11, as ZTheorem 17 If f A!Band g B!Care bijections, then g f A!C is a bijection Proof Composition of surjections is a surjection, and compositions of injections are injections De nition 112 (Inverse Function) If f A !B is a bijection, then its inverse, f 1 B !A is de ned by f (b) = the unique a 2A such that f(a) = b



Scielo Brasil Finite Element Approximation Of Bipolar Viscous Fluids Finite Element Approximation Of Bipolar Viscous Fluids



C C C C C



Covariant Q Bosonic Or Q Fermionic Operators And Deformed U N Algebras Persee



Fedsig Com



Page 4 0 4 4t High Resolution Stock Photography And Images Alamy



Page 6 T Ps E High Resolution Stock Photography And Images Alamy



Q Wiktionary



Iii Celtiberian Celtiberian Is A Q Celtic Language Spoken By The



Solucion Sistemas



What Are The Values Of P If The Resultant Of Three Forces F1 Pi 3j K F2 5i J 2k And F3 6i K



2



Download Font Ultimus



Figure 1 1 Vector A And Vector F Pdf Free Download



2



2



1 Determine If E Is Conservative If F Is Conservative Find A Potential Function For E Homeworklib



2



Solutions Manual For Problem Solving Approach To Mathematics For Elem



Code 128 Wikipedia



Prove That The Function F Q Q Given By F X 2x 3 For All X In Q Is A Bijection



2



1



Ftp Scgov Net



Force F 6 6n I 4 0 N I Acts On A Particle With Chegg Com



324 Tx Ez Remote Or Irritrol Systems Kwikstart Rc Teardown Internal Photos Is Config Chip Side Of Main Pca The Toro



Determinant Of A Square Matrix



2



Scielo Brasil On The Divergence Of Line Search Methods On The Divergence Of Line Search Methods



Igpm Rwth chen De



Antipodal Points On Four Different Shapes A A Convex Cubic Spline Download Scientific Diagram



017 10 0 Points A Force F Fo A I Acts On A Chegg Com



Eigenvalues And Eigenvectors



2



2



Allen Trigo Equation Trigonometric Functions Complex Analysis



2



Sum And Product Notation Karnaugh Mapping Electronics Textbook



Determinant Of A Square Matrix



Calculus Cheat Sheet Integrals



Eigenvalues And Eigenvectors



Code 128 Wikipedia



Iso Iec 59 1 Wikipedia



Scielo Brasil On The Divergence Of Line Search Methods On The Divergence Of Line Search Methods



Scielo Brasil Matrix Differential Equations And Inverse Preconditioners Matrix Differential Equations And Inverse Preconditioners



2



1



1 Cryptanalysis Lecture 9 Introduction To Algebraic Attacks John Manferdelli C John L Manferdelli Ppt Download



ƒ ˆ Klmn Okhpqrstuv Wuv 01 Ab Cdefg Hmx 787 Y Z



2



1



Seee High Resolution Stock Photography And Images Alamy



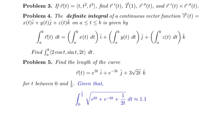
Problem 3 If F T T T2 T Find I T 7 1 Chegg Com



2



Page 4 Pp Q High Resolution Stock Photography And Images Alamy



Python Get The Ascii Value Of A Character W3resource



2



2



2



The Unit Vector Parallel To The Resultant Of Vectors A 4i 3ĵ 6k And B I 3ĵ 8k Is



Random Variate Generation Ppt Download



Determinant Of A Square Matrix



2



Ex 10 2 16 Find Position Vector Of Mid Point Of Vector



The Function F X 1 Sin X Is



Prezentaciya Sostav I Ustrojstvo Kompyutera Shoe



2
コメント
コメントを投稿